My scilab programs for the explicit method and the theta method for the heat equation

The aim here is to solve the heat equation for x in (0,1), with u vanishing at x=0 or 1, and with a given initial condition u(x,0)=u0(x). The two methods considered are the explicit method and the theta method.

There are 6 functions below:

  1. u0. Computes the initial condition. Takes vector input x. Returns vector output of values of u0.
  2. tridiag. Solves tridiagonal systems of linear equations (by Gaussian elimination, no pivoting). 4 vector inputs, the three nontrivial diagonals and the "right hand side". Returns the vector solution.
  3. step. Takes a single time step of the explicit method. Inputs: u (current solution), nu. Returns the updated u.
  4. parint. Runs the explicit method method. 3 inputs: Shows output grapically, plotting u every time t increases by 0.025.
  5. step2. This takes a single time step of the theta method. Inputs: u (current solution), nu, theta. Returns the updated u.
  6. parint2. Runs the theta method. 4 inputs: Shows output grapically, plotting u every time t increases by 0.025.

function a=u0(x)
a=10*x.*(1-x).^5;
endfunction

function x=tridiag(d,u,l,r) 
//  solve  [   d1  u1  0   0          ] [ x1 ]  =  [ r1 ]
//         [   l1  d2  u2  0          ] [ x2 ]     [ r2 ]
//         [   0   l2  d3  u3         ] [ x3 ]     [ r3 ]
//         [   0   0   l3  d4  ....   ] [ x4 ]     [ r4 ]
//         [        :                 ] [  : ]     [  : ]
ds=size(d,1)
us=size(u,1)
ls=size(l,1)
rs=size(r,1)
x=zeros(ds,1)
if (us==ds-1 & ls==ds-1 & rs==ds )
   for i=2:ds
    fact=l(i-1)/d(i-1)
    l(i-1)=0;
    d(i)=d(i)-fact*u(i-1)
    r(i)=r(i)-fact*r(i-1)
   end
   x(ds)=r(ds)/d(ds)
   for i=ds-1:-1:1
    x(i)=(r(i)-u(i)*x(i+1))/d(i)
   end
else
   x=0            // this will give an error if input sizes don't match
end
endfunction 

function a=step(u,nu)
d=size(u,2);
a=zeros(1,d);
a(1)=0;
a(d)=0;
for i=2:d-1
  a(i)=u(i)+nu*(u(i-1)-2*u(i)+u(i+1));
end
endfunction

function s=parint(T,J,N)
x=(1/J)*[0:J]  
u=u0(x)
t=0
s=0
nu=T*J*J/N
xbasc(0)
plot2d(x,u)
for i=1:N
  u=step(u,nu);
  t=t+nu/(J*J);
  if (t-s>0.025) 
    plot2d(x,u)
    s=t
  end
end
endfunction

function unew=step2(u,nu,theta)
dimu=size(u,1);
D=zeros(dimu,1)
U=zeros(dimu-1,1)
L=zeros(dimu-1,1)
R=zeros(dimu,1)
D=D+(1+2*theta*nu)
D(1)=1
D(dimu)=1
U=U-theta*nu
U(1)=0
L=L-theta*nu
L(dimu-1)=0
m1=1-2*(1-theta)*nu
m2=(1-theta)*nu
R(1)=0
R(dimu)=0
for i=2:dimu-1
  R(i)=m1*u(i)+m2*(u(i-1)+u(i+1))
end
unew=tridiag(D,U,L,R)
endfunction

function s=parint2(T,J,N,theta)     
                  //  T=total time, J=steps in x-dirn, N=steps in t-dirn, theta
x=(1/J)*[0:J]'
u=u0(x)
t=0
s=0
nu=T*J*J/N
xbasc(0)
plot2d(x,u)
for i=1:N 
  u=step2(u,nu,theta);
  t=t+T/N;
  if (t-s>0.025) 
    plot2d(x,u)
    s=t
  end
end
endfunction

Suggested Runs

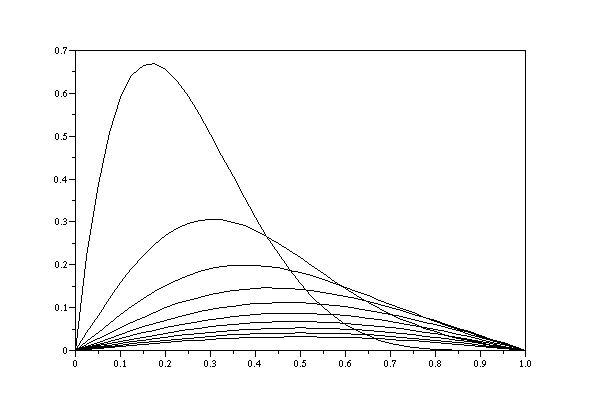
The explicit method is supposed to work if and only if nu is less than or equal to 1/2. To see this run parint(0.25,40,800) and parint(0.25,40,750). In the first case nu is 1/2 and you should get the graph below. In the second case nu is over 1/2 and the solution diverges. Note how long it takes to integrate when nu=1/2.

To see that the theta method does not require such large numbers of steps in the t direction, provided theta is at least 1/2, run parint2(1,40,80,0.4) (fails) and parint2(1,40,80,0.5), parint2(1,40,80,0.6) (both work fine). Note the vast improvement of speed over the explicit method!


Return to this course homepage
Return to my teaching homepage
Return to my homepage